产品分类
RODUCT CLASSIFICATION
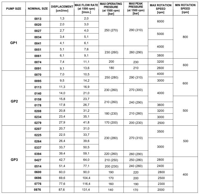
产品规格
| 描述 | GP1 | GP2 | GP3 |
|---|---|---|---|
| 位移范围 | 1.3÷9.1cm³/ rev | 7÷27.9cm³/ rev | 20.7÷87.6cm³/ rev |
| 旋转方向 | 顺时针,逆时针或可逆(从轴侧看) | 顺时针,逆时针或可逆(从轴侧看) | 顺时针,逆时针或可逆(从轴侧看) |
| 在轴上加载 | 不允许径向和轴向负载 | 不允许径向和轴向负载 | 不允许径向和轴向负载 |
| 液压连接 | 法兰配件 | 法兰配件 | 法兰配件 |
| 安装类型 | 4孔法兰 - 矩形 | 4孔法兰 - 矩形 | 4孔法兰 - 矩形 |
| 标准版质量 | 1.2÷1.6千克 | 2.6÷3.5千克 | 6÷8.5千克 |
| H版质量 | 1.9÷2.3千克 | 3.8÷4.7千克 | 8.7÷11.2千克 |
